2,7-Dé-hiodrocsai-9-fluorenone
Mar 25, 2024
Teicneolaíocht chúlra
2, 7-dihydroxy-9-Is ábhar tábhachtach sintéise orgánach é fluorenone, ar féidir a úsáid chun ábhair pholaiméireacha silicone fluaraiseacha a ullmhú. Is féidir é a úsáid freisin chun roisín teirmeaplaisteacha cetóin polyether sulfóin fluorenyl a ullmhú. Ina theannta sin, is féidir é a úsáid mar phríomh-idirmheánach do shintéisiú interferon víreasach (diethylamine-9-fluorenone) agus 2-hydroxylamino-acetyl-9-fluorenone mar antispasmodic. Dá bhrí sin, tá luach taighde tábhachtach ag sintéis 2, 7-dé-hiodrocsa-9-fluorenone.

Thuairiscigh Krishna sintéis 2, 7-dé-hidroxy-9-fluorenone den chéad uair i 1967 (Journal of Medicinal Chemistry, 1967,10:99-101). Ag baint úsáide as fluairín mar amhábhar, fuarthas 2, 7-dé-hidroxy-9-fluorenone trí sulfónú, ocsaídiú, leá alcaile agus imoibriú lúb dúnta. Tá an modh seo éasca le hamhábhair a fháil agus ar chostas íseal. Mar sin féin, sa phróiseas ullmhúcháin, roghnaítear sármhanganáite potaisiam mar an oxidant, tá cuid mhór de dhramhaíl soladach dé-ocsaíd mangainéise, atá deacair déileáil leis, agus is é an dá chéim dheireanach den imoibriú imoibriú soladach ard-teocht, an tá an modh oibríochta agus an próiseas aistrithe mais sa phróiseas imoibrithe deacair, agus tá táirgeadh trealaimh imoibrithe ard agus tá sé deacair an méid imoibrithe a rialú.
I 1973, Horner et al. (Justus Liebigs Annalen der Chemie,1973,6(5):910-935.) gur úsáideadh meitil 2-bróma5-methoxybenzoate agus p-iodoanisole mar amhábhair i gcatalú copair púdar. 4-défheinile éitear démheitil-2-aigéad formach agus aigéad 4,4'-démheitil éitearsóch. Fuarthas 2, 7-dé-hidroxy-9-fluorenone trí ghrúpa meatocsa a thiontú go grúpa hiodrocsaile le haigéad hidreabrómach sa lúb dúnta faoi ghníomh polyphosphate. Tá riocht an mhodha seo éadrom, ach tá an praghas amhábhar ard, agus tá a táirge cúplála féin ag an gcéad chéim, agus tá an toradh íseal.
Sa bhliain 2008, Jeffrey et al. (Iris na Ceimice Ábhar, 2008, 18(28):3361-3365.) gur úsáideadh fluairín mar an t-ábhar tosaigh agus ainhidríd aicéiteach mar an imoibrí aicéiteach, agus go ndearnadh aeráil Fu-g faoi chatalú ainhidriúil A1C1. Ansin cuireadh an táirge faoi réir athshocrú ocsaídiúcháin Baeyer-Villiger ag m-CPBA agus aigéad trífhluara-aicéiteach i dtuaslagóir clóraform. Rinneadh an táirge a ocsaídiú le déchrómáit sóidiam agus ar deireadh hidrealú go 2, 7-dé-hiodrocsai-9-fluorenone. Tá costas an mhodha seo ard, ní mór aird a thabhairt ar shábháilteacht an úsáid a bhaint as táirgeadh sárocsaíd, agus tá sé deacair iarchóireáil bichromate sóidiam.
Faoi láthair, tá na fadhbanna seo a leanas ag an bpróiseas táirgthe de 2, 7-dihydroxy-9-fluorenone: 1) Mar gheall ar easnaimh ardchostas, oibriú contúirteach, castacht agus méid mór tuaslagóir, tá sé deacair torthaí sásúla a fháil in ullmhúchán tionsclaíoch; 2) Tá costas ard amhábhar ag an mbealach seo, toradh íseal agus íonú deacair táirge; 3) Is é an dá chéim dheireanach den imoibriú imoibriú soladach ardteochta, tá an modh oibríochta agus an próiseas aistrithe mais sa phróiseas imoibrithe deacair, agus éilíonn an táirgeadh trealamh ard-imoibrithe agus tá sé deacair an méid imoibrithe a rialú.
Modh ullmhúcháin
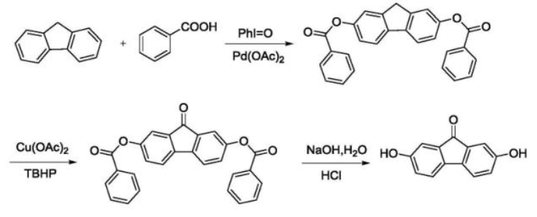
1. Cuir 50g fluorene, 79g aigéad beansóch, ocsaíd airgid 124g, aicéatáit pallaidiam 2g agus 350g tolúéin isteach sa soitheach imoibriúcháin atá feistithe le teirmiméadar, agitator agus deighilteoir uisce, rialú an teocht imoibrithe ag 115 céim, fractiate an uisce a ghintear ag an imoibriú agus ag imoibriú, fuaraigh síos go dtí 70 céim tar éis 10-15 uair an chloig imoibrithe, scagaigh é nuair a bhíonn sé te, laghdaigh an brú agus dírigh an ciseal orgánach go dtí go mbeidh líon mór solad deasctha. Cuir 100g meatánól, teas suas go dtí 50 céim, corraigh ar feadh 1h, fuaraigh síos go dtí 10 céim, sliocht agus scagaire chun 9h-fluoren-2, 7-eistear meitile diacyldibenzoate a fháil, tirim 105.3g ag 70 céim , toradh 85.4%.
2. Cuir 100g9h-fluoren-2, 7-eistear meitile diacyldibenzoate, 8.2g aicéatáit chopair agus 650g déchlóraimeatán isteach san imoibreoir atá feistithe le teirmiméadar, stirreoir agus gléas drip brú tairiseach. Go mall teas suas go dtí 50 céim , agus go mall cuir 118.6g70% sárocsaíd búitile. Tar éis sileadh, coinnigh te ar feadh 10h. Ag deireadh an imoibrithe, íslíodh an teocht go dtí 10 céim, agus fuarthas an táirge fliuch de 9-oxy-9h-fluoren-2, 7-diacyldibenzoate methyl eistir trí eastóscadh agus scagachán. Níodh an táirge fliuch le 20g de dhéshulfite sóidiam agus 115g uisce ar feadh 1 uair an chloig, agus baineadh agus triomaíodh an táirge críochnaithe de 9-oxy-9h-fluoren-2, 7-diacyldibenzoate). a fháil 96.8g, le toradh de 94.0%.
3. Cuir 700g uisce, 60g de charbónáit sóidiam, agus 100G9-ocsa-9h-fluarain-2, 7-diacyldibenzoate leis an soitheach imoibriúcháin faoi chosaint nítrigine. Teas suas le 90 céim faoi atmaisféar nítrigine agus coinnigh ar feadh 7h. Ag deireadh an imoibrithe, íslíodh an teocht go 5 céim, agus cuireadh 47g aigéad hidreaclórach tiubhaithe go mall leis an réiteach imoibrithe. Tar éis titim, coinníodh an leacht te ag 5 céim ar feadh 1 uair, agus ansin é a phumpáil agus a scagadh chun 52g de 2, 7-dé-hiodrocsa-9-táirge fliuch fluorenóin7-dé-hiodrocsa-9-a fháil. Ansin nite an táirge fliuch le meatánól 52g ag 15-20 céim ar feadh 1 uair, fuaraíodh é go 5 céim, scagadh agus triomaíodh é chun 47.1g de 2, 7-dé-hiodrocsaí-9-fluorenóin, a fháil. Ba é íonacht HPLC 99.8% agus an toradh 94.2%.


